Это ключевая фраза, сейчас дела обстоят по другому. И извините за любопытство, какой вы файл обрабатывали, на каком процессоре и какой до этого был интел?Как-то лет 5 назад
Смотрите видео ниже, чтобы узнать, как установить наш сайт в качестве веб-приложения на домашнем экране.
Примечание: Эта возможность может быть недоступна в некоторых браузерах.
Добро пожаловать на компьютерный форум Tehnari.ru. Здесь разбираемся с проблемами ПК и ноутбуков: Windows, драйверы, «железо», сборка и апгрейд, софт и безопасность. Форум работает много лет, сейчас он переехал на новый движок, но старые темы и аккаунты мы постарались сохранить максимально аккуратно.
Форум не связан с магазинами и сервисами – мы ничего не продаём и не даём «рекламу под видом совета». Отвечают обычные участники и модераторы, которые следят за порядком и качеством подсказок.
Если вы у нас впервые, загляните на страницу о форуме и правила – там коротко описано, как задать вопрос так, чтобы быстро получить ответ. Чтобы создавать темы и писать сообщения, сначала зарегистрируйтесь, а затем войдите под своим логином.
Это ключевая фраза, сейчас дела обстоят по другому. И извините за любопытство, какой вы файл обрабатывали, на каком процессоре и какой до этого был интел?Как-то лет 5 назад
Редактировал, а потом переводил (программа Corel) из вектора в растр банер размером 15х5 метров, SMYK, в разрешении 300 dpi (такое большое разрешение требовал заказчик, хотя 72dpi было бы выше крыши). Выход в JPG получился где-то в районе 1,2 Гб. Процессор AMD был по моему в районе 3GHz но не больше (может 2,8, точно не помню), про Intel скажу точно, потому что это был мой старый домашний компьютер - P-IV 2,66GHz, ОЗУ одинаковые.Это ключевая фраза, сейчас дела обстоят по другому. И извините за любопытство, какой вы файл обрабатывали, на каком процессоре и какой до этого был интел?
Вообще бред какой то, кто вас просил брать матери на чипсете nForce (они почти все греются и глючат), берите на чипсете AMD и будет вам счастье.Intel. Intel? Intel! И ещё раз интел!!! (хотя бы чипсет). Щас 2 материнки с АМУ с nForce 4 лежат мёртвым грузом... Одна включается когда хочет, вторая не работает по праздникам, выходным и будням)). С Интелом таких проблем никогда не было, начиная с Intel 133 Мгц... Один раз на моей памяти был косячок, принесли комп, постоянно зависал, но это из-за неправильной эксплуатации - нефиг системником в жену швыряться... -)
Сейчас всё по другому. У меня жена профессиональный дизайнер, коралом пользуется постоянно и работает на шести ядерном процессоре от AMD, рядом сидят люди на 5 и 7 корках, более менее заметный прирост в обработке графики заметен только на 7 корке, а пятая идёт вровень.Редактировал, а потом переводил (программа Corel) из вектора в растр банер размером 15х5 метров, SMYK, в разрешении 300 dpi (такое большое разрешение требовал заказчик, хотя 72dpi было бы выше крыши). Выход в JPG получился где-то в районе 1,2 Гб. Процессор AMD был по моему в районе 3GHz но не больше (может 2,8, точно не помню), про Intel скажу точно, потому что это был мой старый домашний компьютер - P-IV 2,66GHz, ОЗУ одинаковые.
Какой из этих процессоров AMD "рвет" Intel?Сейчас всё по другому. У меня жена профессиональный дизайнер, коралом пользуется постоянно и работает на шести ядерном процессоре от AMD, рядом сидят люди на 5 и 7 корках, более менее заметный прирост в обработке графики заметен только на 7 корке, а пятая идёт вровень.

Какой из этих процессоров AMD "рвет" Intel?
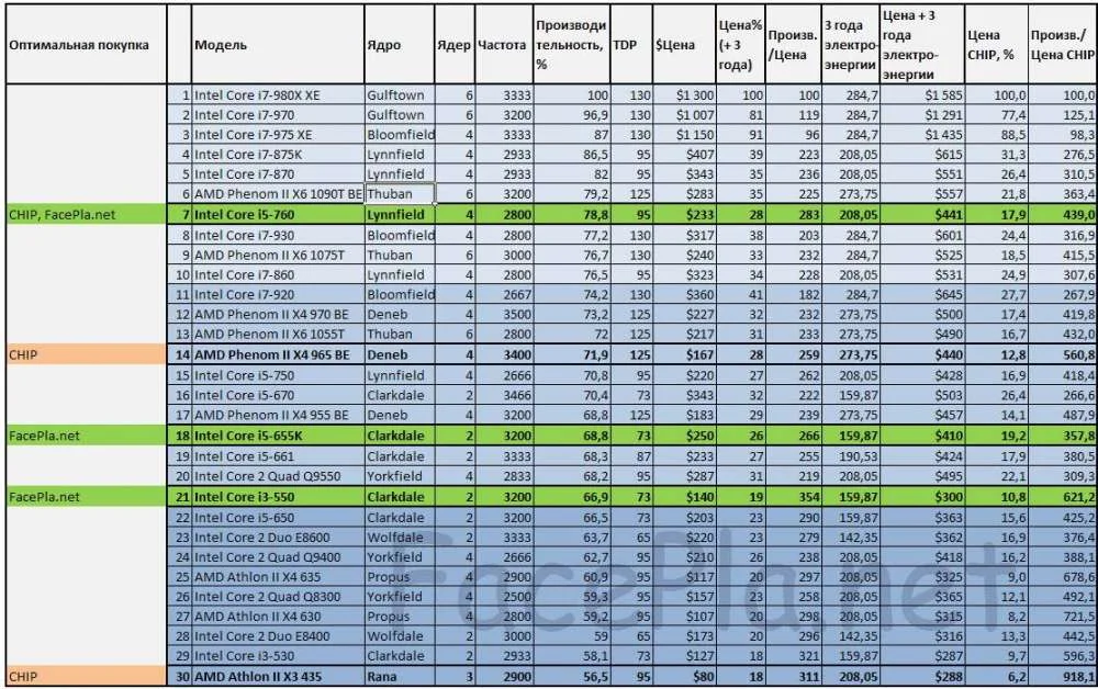
см. таблицу:
Посмотреть вложение 46230
5 и 6 позиция 4 ядерный Intel (2933GHz) и 6 ядерный AMD (3200GHz), теперь их стартовая цена и стоимость энергопотребления.
У меня всё.
Вообще бред какой то, кто вас просил брать матери на чипсете nForce (они почти все греются и глючат), берите на чипсете AMD и будет вам счастье.
+ 100500, здравая мысль.по факту получается, что на какой проц денег есть, такой и берешь, да и хрен отличишь, какой процессор на сколько секунд быстрее обрабатывает данные.
Где в моём посте вы увидели что AMD рвёт интел???Какой из этих процессоров AMD "рвет" Intel?
см. таблицу:
Посмотреть вложение 46230
5 и 6 позиция 4 ядерный Intel (2933GHz) и 6 ядерный AMD (3200GHz), теперь их стартовая цена и стоимость энергопотребления.
У меня всё.
Я парни с вас вообще в шоке, вы уже 13 страниц спорите что лучше, амд или интел, приводите кучу фактов, примеров из жизни, а по факту получается, что на какой проц денег есть, такой и берешь, да и хрен отличишь, какой процессор на сколько секунд быстрее обрабатывает данные. Я вообще не парился, взял Атлон трехъядерный на 3 Ггц и больно любо, и видео обрабатывает быстро, и рендер в максе и в играх с 460 гтх все гут летает. Мозги реально компосируете друг другу.
Субъективно: 3-го пункта в опросе нехватает - "Пофиг". Поэтому не голосовал.
Объективно: В топовом сегменте Intel (если нужна высокопроизводительная рабочая станция за пофиг сколько денег), в нижнем AMD (если нужна простенькая машинка за минимум вложений). В середине полный паритет и по производительности и по цене.
Амд 6 ядерный никогда небыл мощьнее Ай7коментируйте почему за эту фирму
я посмотрел что амд мощнее ай 7 и понял что амд лучше