• Добро пожаловать на компьютерный форум Tehnari.ru. Здесь разбираемся с проблемами ПК и ноутбуков: Windows, драйверы, «железо», сборка и апгрейд, софт и безопасность. Форум работает много лет, сейчас он переехал на новый движок, но старые темы и аккаунты мы постарались сохранить максимально аккуратно.

    Форум не связан с магазинами и сервисами – мы ничего не продаём и не даём «рекламу под видом совета». Отвечают обычные участники и модераторы, которые следят за порядком и качеством подсказок.

    Если вы у нас впервые, загляните на страницу о проекте, чтобы узнать больше. Чтобы создавать темы и писать сообщения, сначала зарегистрируйтесь, а затем войдите под своим логином.

    Не знаете, с чего начать? Создайте тему с описанием проблемы – подскажем и при необходимости перенесём её в подходящий раздел.
    Задать вопрос Новые сообщения Как правильно спросить
    Если пришли по ссылке со старого Tehnari.ru – вы на нужном месте, просто продолжайте обсуждение.

Основы теоретической механики

  • Автор темы Автор темы Diman
  • Дата начала Дата начала

Вот это фото еще выложил.Просто нам ее тоже препод дал.Может поможет.Я вообще в этом бесполезном предмете не понимаю...
 
Если честно.. То то что ты выложил меня ещё больше в тупик загнало. С одной стороны правильно, теперь можно узнать все размеры двутавра и характеристики, но теперь не понятно что тогда за отношение такое hb=2:7 - объясни что это или напиши как это понять?
 
Если бы я сам понимал...Но это фото это просто отношение сторон..
 
Ну как решение?
 
Наконец-то продвижение, нашёл эту формулу: formula1.webp
Сегодня попробую посчитать по ней изгибающий момент. Так что насчёт предыдущей части? Т.е. самого решения? Я ведь не знаю, верно ли оно. Есть ли возможность чтобы препод сам проверил? Или надо сдавать только полностью готовое решение?
 
К сожалению надо сдавать полное решение ну я у однокурсников спрашивал они сказали вроде бы правильное....Бесит меня ОТМ зачем оно нужно???Я учусь на энергетика а зачем мне надо это ОТМ!Спасибо Стеклышек!!!Завтра уже будет решение?
 
Я как раз не могу вспомнить что идёт после расчёта b и h. Их то я нашёл, соответственно и сечение тоже. Но вот:
подобрать сечение стальной балки в 3 исполнениях
это как? 3 сечения приблизительные найти?
 
Последнее редактирование:
Не понял одной вещи. Какое отношение к ТМ имеет расчет балки на прочность и жесткость при плоском изгибе. Это курс сопротивления материалов, но никак не теоретической механики.
P.S: Вот вам методичка по расчету балки, самому влом решать :) <УДАЛЕНО>http://slil.ru/28606380
 
Сопромат входит в часть ОТМ
 
Не понял одной вещи. Какое отношение к ТМ имеет расчет балки на прочность и жесткость при плоском изгибе. Это курс сопротивления материалов, но никак не теоретической механики.
P.S: Вот вам методичка по расчету балки, самому влом решать :) <УДАЛЕНО>http://slil.ru/28606380

Вот и я удивился, термех, а задача из сопромата. Но есть предположение, что эти два курса просто объединены, так как они являются лишь дополнительными, так сказать для ознакомления.
 
У нас так.СМ входит в программу ОТМ
 
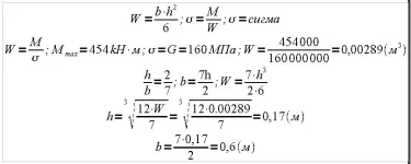
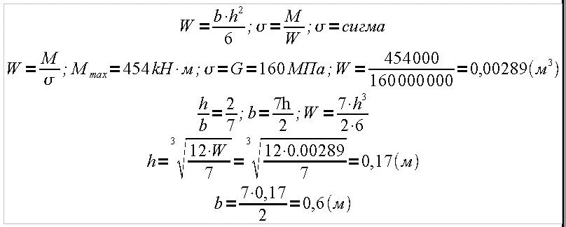
formula2.webp
Вот получились такие значения, но значение W что-то очень большое выходит. Думаю где-то я накосячил. Что дальше делать так и не придумал.
 
Ну я думаю можно уже писать эту задачу?
 
Попробуй, заодно и узнаешь что не так. Ну или хотя бы спроси у своих что они делали дальше.
 
А переписывать первое фото где в тетради и это да?
 
Да, в тетради это эпюры, а тут мы находим сечение.
 
Спасибо большое:)
 
мда.....Препод начал проверять и сразу сказал что эпюра построена не правильно!!!!Придется покупать:)
 
Вот я и говорю, что эпюра слишком странная получилась, видать не быть мне специалистом по сопромату :) Эх, жаль тетрадь выбросил :(
 
Назад
Сверху