Смотрите видео ниже, чтобы узнать, как установить наш сайт в качестве веб-приложения на домашнем экране.
Примечание: Эта возможность может быть недоступна в некоторых браузерах.
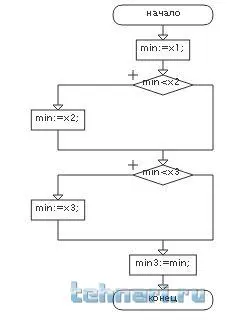
Вера, я, к сожалению, в блок-схемах ничего не понимаю, поскольку не пользуюсь. Но вижу что ошибки да, есть. Поэтому воспользовался OnLine-сервисом, который понарисовал эти схемы. Тоже, правда, с ошибками, например, вызов функций в первой программе явно всунут не туда, куда надо. Причем обеих. Поправьте. Я, увы, не знаю, как это оформляется.Добрый вечер. К этим задачам были еще блок-схемы, которые оказались не правильны. Особенно последний не знаю как записать. Спасибо.





var x,a,y,b,h,p:Real;
i,n:Integer;
function f1(x:Real):Real;
var yy:Real;
begin
yy:=sqr(sqr(x))+sqr(x)*x-10*sqr(x)-34*x-25;
f1:=yy;
end;
begin
a:=-2;
b:=0;
h:=0.1;
writeln ('a= ',a:4:0);
writeln ('b= ',b:4:0);
writeln ('h= ',h:4:1);
n:=Round((b-a)/h);
writeln ('n= ',n:4);
p:=1;
x:=a;
y:=f1(x);
writeln ('x= ',x:4:0);
writeln ('y= ',y:4:0);
writeln ('proizvedenie y>0 ravno',p:5:2);
if y>0
then p:=p*y;
for i:=1 to n do
begin
x:=x+h;
y:=f1(x);
writeln ('x= ',x:4:2);
writeln ('y= ',y:4:2);
Readln;
if y>0
then p:=p*y;
writeln ('proizvedenie y>0 ravno ',p:5:2);
end;
writeln ('proizvedenie y>0 ravno ',p:5:2);
readln;
end.

Вера, что касается блок-схем, то всё, что могу посоветовать - найти либо OnLine сервис, либо бесплатную программу в Сети для их построения.Благодарю. Там еще была задача, с которой думала проблем нет.
var
x,a,y,b,h,p:Real;
i,n:Integer;
function f1(x:Real):Real;
begin
f1:=sqr(sqr(x))+sqr(x)*x-10*sqr(x)-34*x-25;
end;
begin
a:=-2;
b:=0;
h:=0.1;
writeln ('a= ',a:4:0);
writeln ('b= ',b:4:0);
writeln ('h= ',h:4:1);
n:=Round((b-a)/h);
writeln ('n= ',n:4);
writeln('Press "Enter" to continue');
readln;
p:=1;
x:=a-h;
for i:=0 to n do
begin
x:=x+h;
y:=f1(x);
if y>0 then p:=p*y;
writeln ('x= ',x:5:2,' y= ',y:6:2,' p= ',p:10:2);
end;
writeln ('proizvedenie y>0 ravno ',p:10:2);
readln;
end.
Ох, Вера... Вот не хотел я давать ссылку - какой-то сервис нехороший: рекламные окна так и валятся. Но если настаиваете... в общем, за последствия не отвечаю. Я пользовался сервисом paslab.ru . Кстати, чтобы заставить его рисовать блок-схемы подпрограмм, нужно эти подпрограммы временно переделать в программы и отдельно запустить. Иначе не хочет.А какую программу для построения блок-схем использовали вы? Не могу найти ничего нормального.

Вера, скажите своему преподавателю (можно сославшись на меняЗдравствуйте, преподаватель сказал, что эта программа полностью не верна. Что в ней не сумму надо искать, как тут:
Сочувствую.Ну он постоянно пьяный, только говорить бесполезно. Я не ношу ему коньяк поэтому у меня одной все не правильно и плохие оценки. Так и живем. Кругом бардак. Одни продажные твари.