• Добро пожаловать на компьютерный форум Tehnari.ru. Здесь разбираемся с проблемами ПК и ноутбуков: Windows, драйверы, «железо», сборка и апгрейд, софт и безопасность. Форум работает много лет, сейчас он переехал на новый движок, но старые темы и аккаунты мы постарались сохранить максимально аккуратно.

    Форум не связан с магазинами и сервисами – мы ничего не продаём и не даём «рекламу под видом совета». Отвечают обычные участники и модераторы, которые следят за порядком и качеством подсказок.

    Если вы у нас впервые, загляните на страницу о проекте и правила – там коротко описано, как задать вопрос так, чтобы быстро получить ответ. Чтобы создавать темы и писать сообщения, сначала зарегистрируйтесь, а затем войдите под своим логином.

    Не знаете, с чего начать? Создайте тему с описанием проблемы – подскажем и при необходимости перенесём её в подходящий раздел.
    Задать вопрос Новые сообщения Как правильно спросить
    Если пришли по старой ссылке со старого Tehnari.ru – вы на нужном месте, просто продолжайте обсуждение.

TDA2050 - стандартная схема включения

  • Автор темы Автор темы TSKos
  • Дата начала Дата начала
Что то вы меня совсем запутали. как так получилось?????????? вроде собирал по схеме из даташита.

Схема и печатка это разные вещи =) Схема даташитовская, а печатка нет)
 
Ты сам говорил "Скиф" ) Но схема даташита
ну наконец то :) значит нарисовал верно? а что по поводу
"Если сумеешь свести земляные выводы R1, C2 и сигнальную землю в одной точке то будет респект и уважение." от diman86
это как вообще понять?
 
Схемы бывают разные.

Есть принципиальные электрические схемы. На них условными графическими изображениями показаны детали и связи между ними. Детали на таких схемах можно размещать как угодно, но если связи между ними сохраняются, то суть схемы не меняется.

Есть схемы печатных плат.
Там показано как будут детали и дорожки расположены в натуре. А вот здесь уже, расположение деталей и дорожек имеет большое значение. Неудачно состряпанная схема печатной платы, даже электрически правильно сделанная, может привести к тому, что усилитель будет самовозбуждаться, сильно фонить, гнать повышенные искажения. Сделать качественную разводку печатной платы - это сплав науки и искусства. Не каждому это удается. Если удалось - то заслуженные респект и уважение! На форуме полно тем от новичков, самих слепивших печатную плату, о том как у них ничего не работает и с просьбой разобраться в чем дело.

В общем, если не хочешь лишней головной боли, то делай печатную плату по даташиту. Она гарантирует не только работоспособность схемы, но и соответствие заявленным параметрам по искажениям.
 
вот перевёл на ПП
 

Вложения

  • 1.webp
    1.webp
    50.9 KB · Просмотры: 445
Пробуй) Удачи!
 
ок спасибо. самое интересное то, что у меня пока БП то нету так что проверить пока будет негде, да и ещё, а от скольки вольт TDA2050 начинает работать стабильно?
 
а от скольки вольт TDA2050 начинает работать стабильно?

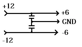
Необходимый минимум +-6 вольт. Можно проверить от БП 12 вольт, создав среднюю точку из конденсаторов. Но желательно напряжение побольше (порядка 18 вольт). Вот рисунок.
 

Вложения

  • Безымянный.webp
    Безымянный.webp
    3.8 KB · Просмотры: 323

Вложения

  • 1.webp
    1.webp
    46.5 KB · Просмотры: 474
Будет. Монтаж влияет на уровень искажений, а не на работу.
 
Назад
Сверху